Официальное опубликование правовых актов
ОФИЦИАЛЬНОЕ ОПУБЛИКОВАНИЕ
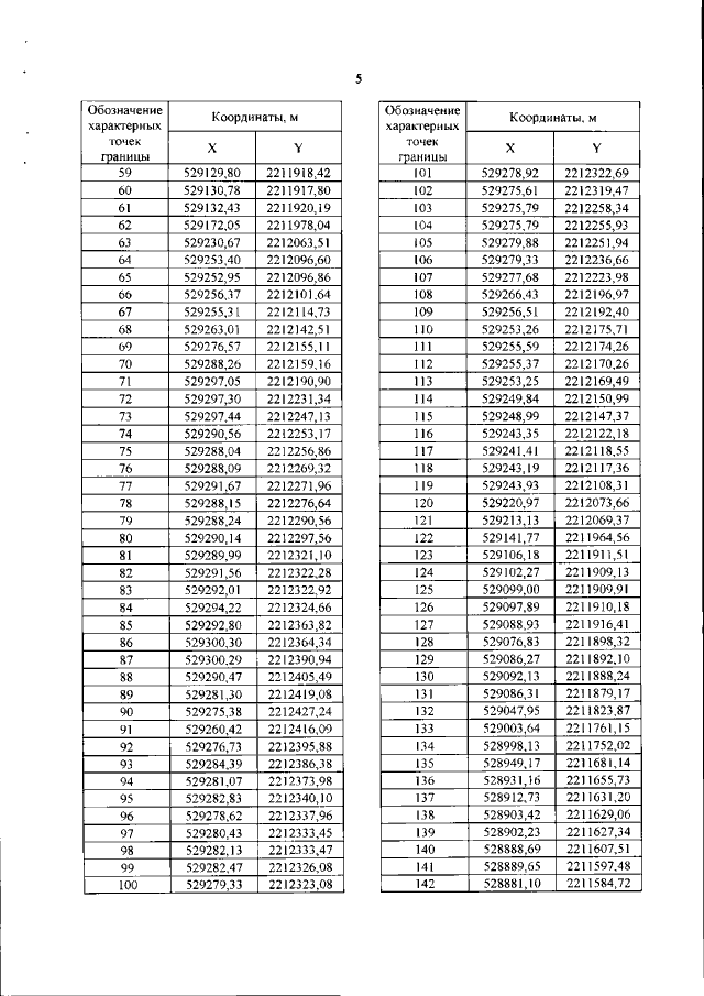
Приказ Министерства градостроительной деятельности и развития агломераций Нижегородской области от 16.04.2021 № 06-01-03/17 "Об утверждении документации по внесению изменений в проект планировки и межевания территории, расположенной по улице Зеленодольская на участке от ул. Ледокола Садко до ул. Чкалова в Канавинском районе города Нижнего Новгорода"
(Зарегистрирован 18.05.2021 № 17208-330-006-01-03/17)
Номер опубликования: 5201202105220006
Дата опубликования: 22.05.2021
Страница №7 из 14:
Увеличить