Официальное опубликование правовых актов
ОФИЦИАЛЬНОЕ ОПУБЛИКОВАНИЕ
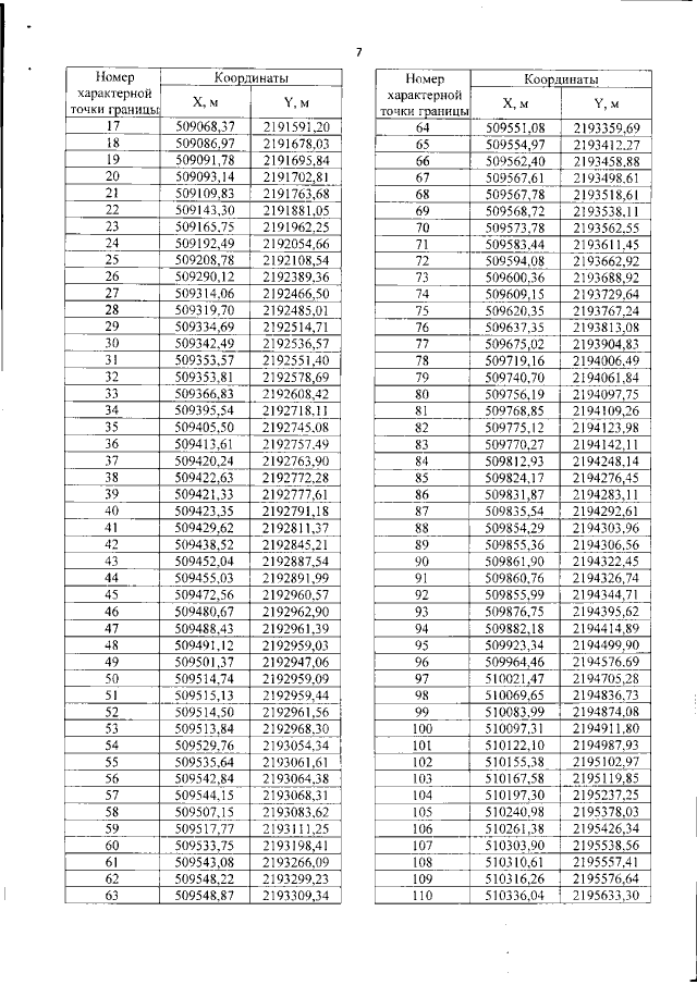
Приказ Министерства градостроительной деятельности и развития агломераций Нижегородской области от 15.07.2021 № 06-01-03/33 "Об утверждении документации по планировке территории от Северного подхода к г. Богородск до с. Доскино в Богородском муниципальном округе Нижегородской области"
(Зарегистрирован 09.08.2021 № 17630-006-01-03/33)
Номер опубликования: 5201202108110016
Дата опубликования: 11.08.2021
Страница №9 из 73:
Увеличить