Официальное опубликование правовых актов
ОФИЦИАЛЬНОЕ ОПУБЛИКОВАНИЕ
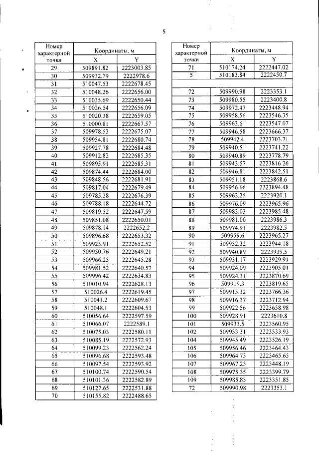
Приказ Министерства градостроительной деятельности и развития агломераций Нижегородской области от 09.08.2021 № 06-01-03/36 "Об утверждении документации по планировке территории, расположенной к западу от д. Зелецино в Кстовском районе Нижегородской области"
(Зарегистрирован 01.09.2021 № 17753-330-006-01-03/36)
Номер опубликования: 5201202109030006
Дата опубликования: 03.09.2021
Страница №7 из 22:
Увеличить