Официальное опубликование правовых актов
ОФИЦИАЛЬНОЕ ОПУБЛИКОВАНИЕ
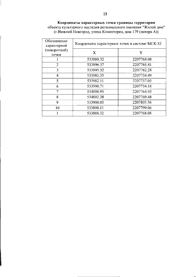
Приказ Управления государственной охраны объектов культурного наследия Нижегородской области от 15.09.2021 № 238
"Об утверждении границ и режима использования территорий объектов культурного наследия регионального значения, расположенных в г. Нижнем Новгороде"
(Зарегистрирован 29.09.2021 № 17878-518-238)
Номер опубликования: 5201202110010012
Дата опубликования: 01.10.2021
Страница №17 из 21:
Увеличить