Официальное опубликование правовых актов
ОФИЦИАЛЬНОЕ ОПУБЛИКОВАНИЕ
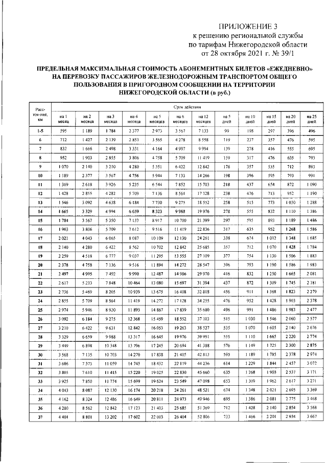
Решение правления Региональной службы по тарифам Нижегородской области от 28.10.2021 № 39/1 "Об установлении тарифов на перевозку пассажиров железнодорожным транспортом общего пользования в пригородном сообщении, осуществляемую АКЦИОНЕРНЫМ ОБЩЕСТВОМ "ВОЛГО-ВЯТСКАЯ ПРИГОРОДНАЯ ПАССАЖИРСКАЯ КОМПАНИЯ" (ИНН 5257111223), г. Нижний Новгород"
(Зарегистрирован 01.11.2021 № 18025-516-039/1)
Номер опубликования: 5201202111030008
Дата опубликования: 03.11.2021
Страница №8 из 18:
Увеличить