Официальное опубликование правовых актов
ОФИЦИАЛЬНОЕ ОПУБЛИКОВАНИЕ
Приказ Министерства экологии и природных ресурсов Нижегородской области от 31.05.2022 № 319-509/22П/од
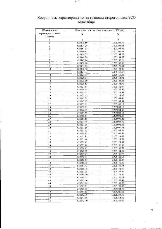
"Об установлении зон санитарной охраны водозабора МП Ковернинского муниципального округа "ЖКХ "Ковернино", расположенного в р.п. Ковернино Ковернинского муниципального округа Нижегородской области"
(Зарегистрирован 22.06.2022 № 20420-319-319-509/22П/од)
Номер опубликования: 5201202206240007
Дата опубликования: 24.06.2022
Страница №7 из 10:
Увеличить