Официальное опубликование правовых актов
ОФИЦИАЛЬНОЕ ОПУБЛИКОВАНИЕ
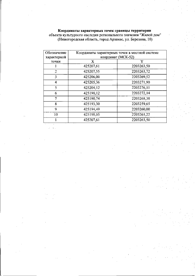
Приказ Управления государственной охраны объектов культурного наследия Нижегородской области от 08.09.2022 № 305 "Об утверждении границ и режима использования территорий объектов культурного наследия регионального значения, расположенных в г. Арзамасе"
(Зарегистрирован 19.09.2022 № 20984-518-305)
Номер опубликования: 5201202209210001
Дата опубликования: 21.09.2022
Страница №4 из 8:
Увеличить