Официальное опубликование правовых актов
ОФИЦИАЛЬНОЕ ОПУБЛИКОВАНИЕ
Приказ Министерства экологии и природных ресурсов Нижегородской области от 19.09.2022 № 319-626/22П/од
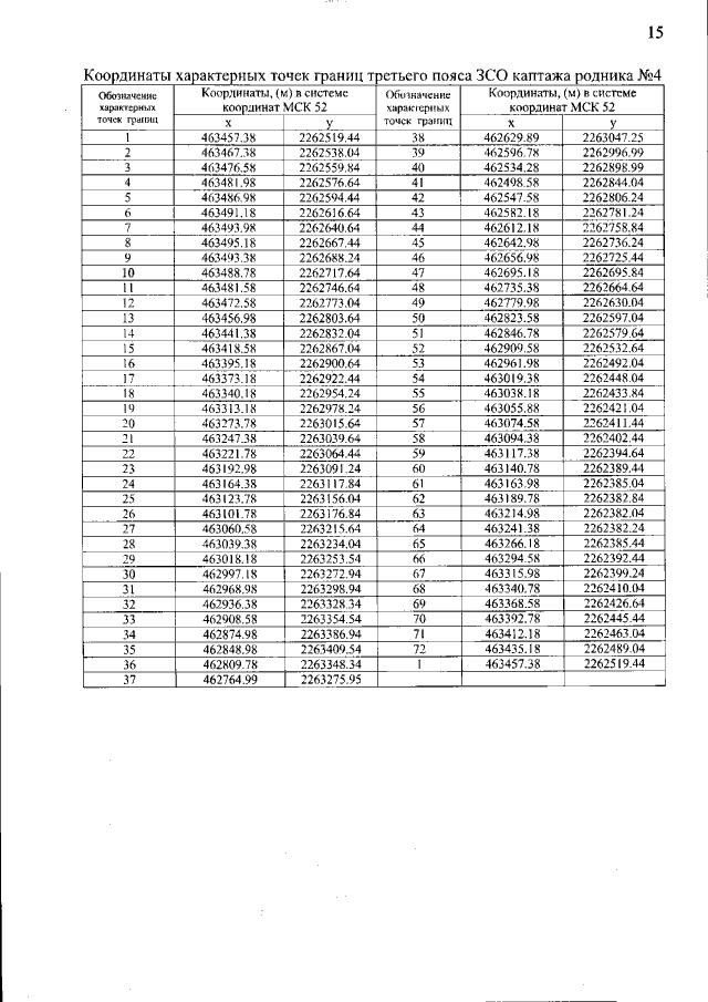
"Об установлении зон санитарной охраны каптажей родников №№ 1, 2, 3, 4 МУП "Управляющая компания", расположенных у р.п. Большое Мурашкино Большемурашкинского муниципального округа Нижегородской области"
(Зарегистрирован 26.09.2022 № 21051-319-319-626/22П/од)
Номер опубликования: 5201202209280007
Дата опубликования: 28.09.2022
Страница №15 из 15:
Увеличить