Официальное опубликование правовых актов
ОФИЦИАЛЬНОЕ ОПУБЛИКОВАНИЕ
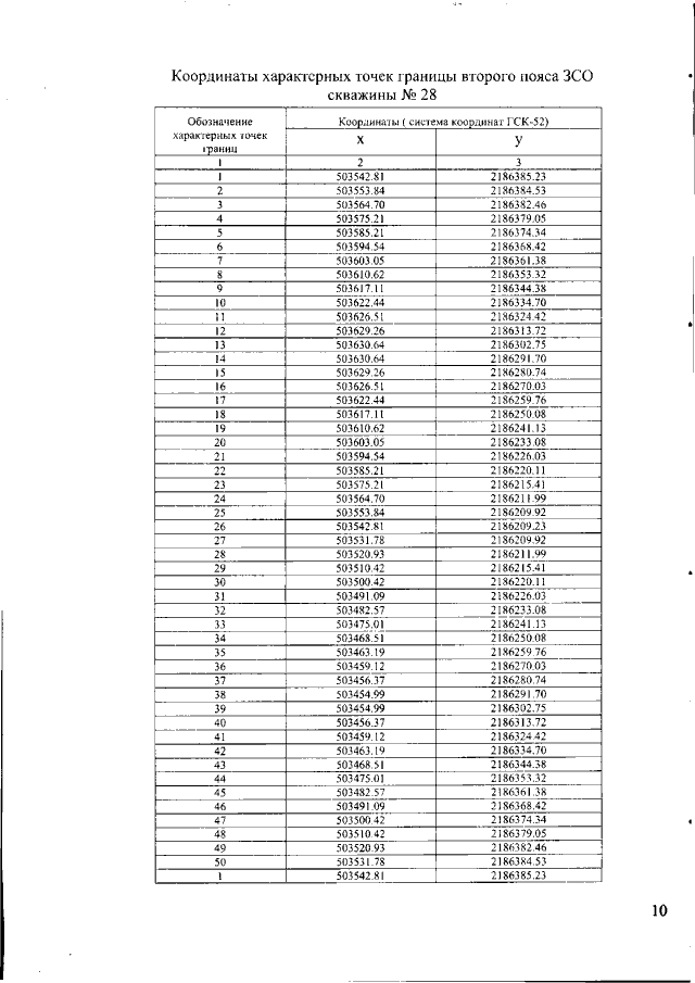
Приказ Министерства экологии и природных ресурсов Нижегородской области от 14.10.2022 № 319-650/22П/од "Об установлении зон санитарной охраны водозаборного участка МУП "УВКХ" д. Высоково Богородского муниципального округа Нижегородской области"
(Зарегистрирован 24.10.2022 № 21203-319-319-650/22П/од)
Номер опубликования: 5201202210260010
Дата опубликования: 26.10.2022
Страница №10 из 12:
Увеличить