Официальное опубликование правовых актов
ОФИЦИАЛЬНОЕ ОПУБЛИКОВАНИЕ
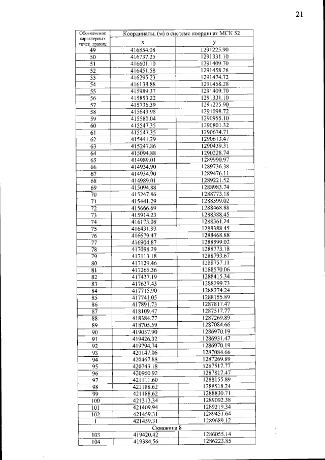
Приказ Министерства экологии и природных ресурсов Нижегородской области от 01.12.2022 № 319-728/22П/од "Об установлении зон санитарной охраны водозаборного участка АО "Выксунский водоканал" в г. Выкса Нижегородской области"
(Зарегистрирован 12.12.2022 № 22127-319-319-728/22П/од)
Номер опубликования: 5201202212150004
Дата опубликования: 15.12.2022
Страница №21 из 22:
Увеличить