Официальное опубликование правовых актов
ОФИЦИАЛЬНОЕ ОПУБЛИКОВАНИЕ
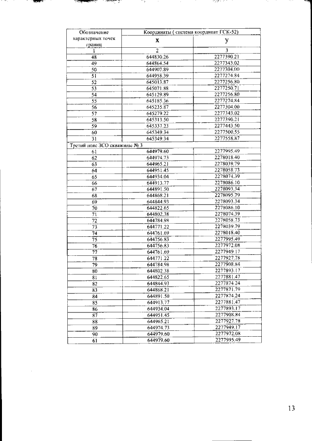
Приказ Министерства экологии и природных ресурсов Нижегородской области от 16.12.2022 № 319-749/22П/од
"Об установлении зон санитарной охраны водозаборного участка МУП Варнавинского района "Водоснабжение", расположенного в с. Богородское, д. Андреево Варнавинского муниципального округа Нижегородской области"
(Зарегистрирован 11.01.2023 № 22296-319-319-749/22П/од)
Номер опубликования: 5201202301130001
Дата опубликования: 13.01.2023
Страница №13 из 13:
Увеличить