Официальное опубликование правовых актов
ОФИЦИАЛЬНОЕ ОПУБЛИКОВАНИЕ
Приказ Министерства экологии и природных ресурсов Нижегородской области от 22.12.2022 № 319-764/22П/од
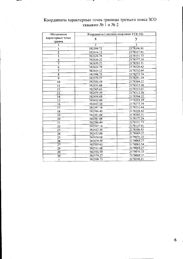
"Об установлении зон санитарной охраны скважин № 1 и № 2, расположенных в 0,5 км юго-восточнее д. Малый Суходол Городецкого муниципального округа Нижегородской области, для водоснабжения базы отдыха "Лесной уют" АО "Атомстройэкспорт"
(Зарегистрирован 16.01.2023 № 22326-319-319-764/22П/од)
Номер опубликования: 5201202301190010
Дата опубликования: 19.01.2023
Страница №6 из 6:
Увеличить