Приказ Министерства экологии и природных ресурсов Нижегородской области от 07.03.2023 № 319-54/23П/од
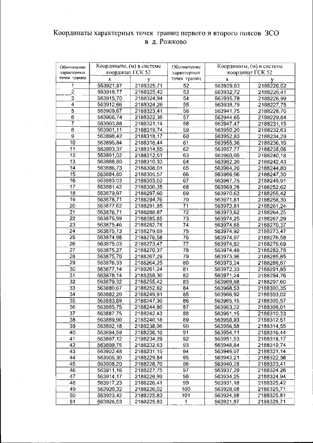
"Об установлении зон санитарной охраны подземных источников водоснабжения МУП "ЖКХ Кумохинское" в д. Рожково, д. Речная, д. Серково Городецкого муниципального округа Нижегородской области"
(Зарегистрирован 20.03.2023 № 22697-319-319-54/23П/од)
"Об установлении зон санитарной охраны подземных источников водоснабжения МУП "ЖКХ Кумохинское" в д. Рожково, д. Речная, д. Серково Городецкого муниципального округа Нижегородской области"
(Зарегистрирован 20.03.2023 № 22697-319-319-54/23П/од)
Номер опубликования: 5201202303220009
Дата опубликования:
22.03.2023
