Официальное опубликование правовых актов
ОФИЦИАЛЬНОЕ ОПУБЛИКОВАНИЕ
Приказ Управления государственной охраны объектов культурного наследия Нижегородской области от 09.03.2023 № 67
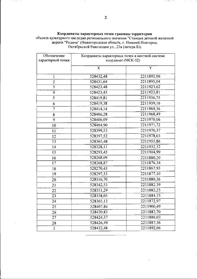
"Об утверждении границы и режима использования территории объекта культурного наследия регионального значения "Станция детской железной дороги "Родина" (Нижегородская область, г. Нижний Новгород, Октябрьской Революции ул., 23а (литера Б))"
(Зарегистрирован 22.03.2023 № 22723-518-067)
Номер опубликования: 5201202303240001
Дата опубликования: 24.03.2023
Страница №4 из 6:
Увеличить