Официальное опубликование правовых актов
ОФИЦИАЛЬНОЕ ОПУБЛИКОВАНИЕ
Приказ Министерства градостроительной деятельности и развития агломераций Нижегородской области от 03.10.2023 № 06-01-03/31
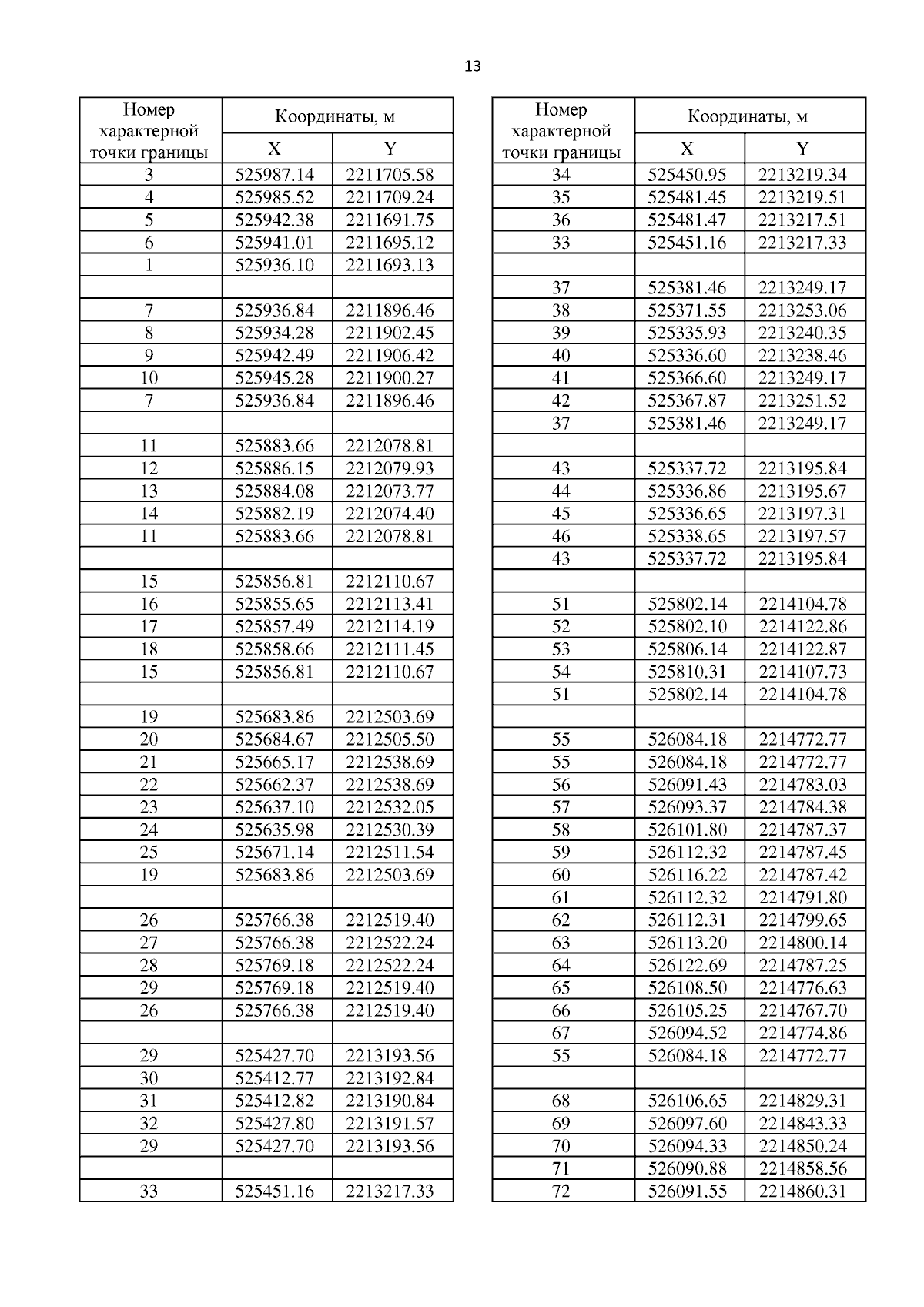
"Об утверждении документации по планировке территории, расположенной от станции метро "Заречная" по бульвару Заречному через р.Ока до проспекта Гагарина, 31Г в Ленинском и Приокском районах городского округа город Нижний Новгород"
(Зарегистрирован 16.10.2023 № 23812-330-006-01-03/31)
Номер опубликования: 5201202310190003
Дата опубликования: 19.10.2023
Страница №15 из 61:
Увеличить