Официальное опубликование правовых актов
ОФИЦИАЛЬНОЕ ОПУБЛИКОВАНИЕ
Приказ Министерства градостроительной деятельности и развития агломераций Нижегородской области от 30.10.2023 № 06-01-03/37
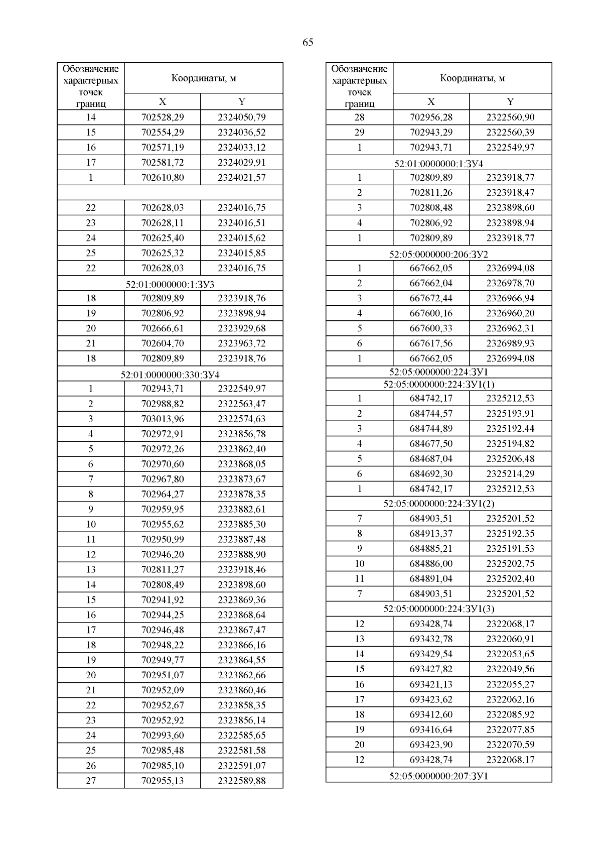
"Об утверждении документации по планировке территории, расположенной от г. Урень Уренского муниципального округа до г. Ветлуга Ветлужского муниципального округа Нижегородской области"
(Зарегистрирован 07.11.2023 № 23980-330-006-01-03/37)
Номер опубликования: 5201202311090004
Дата опубликования: 09.11.2023
Страница №67 из 188:
Увеличить