Официальное опубликование правовых актов
ОФИЦИАЛЬНОЕ ОПУБЛИКОВАНИЕ
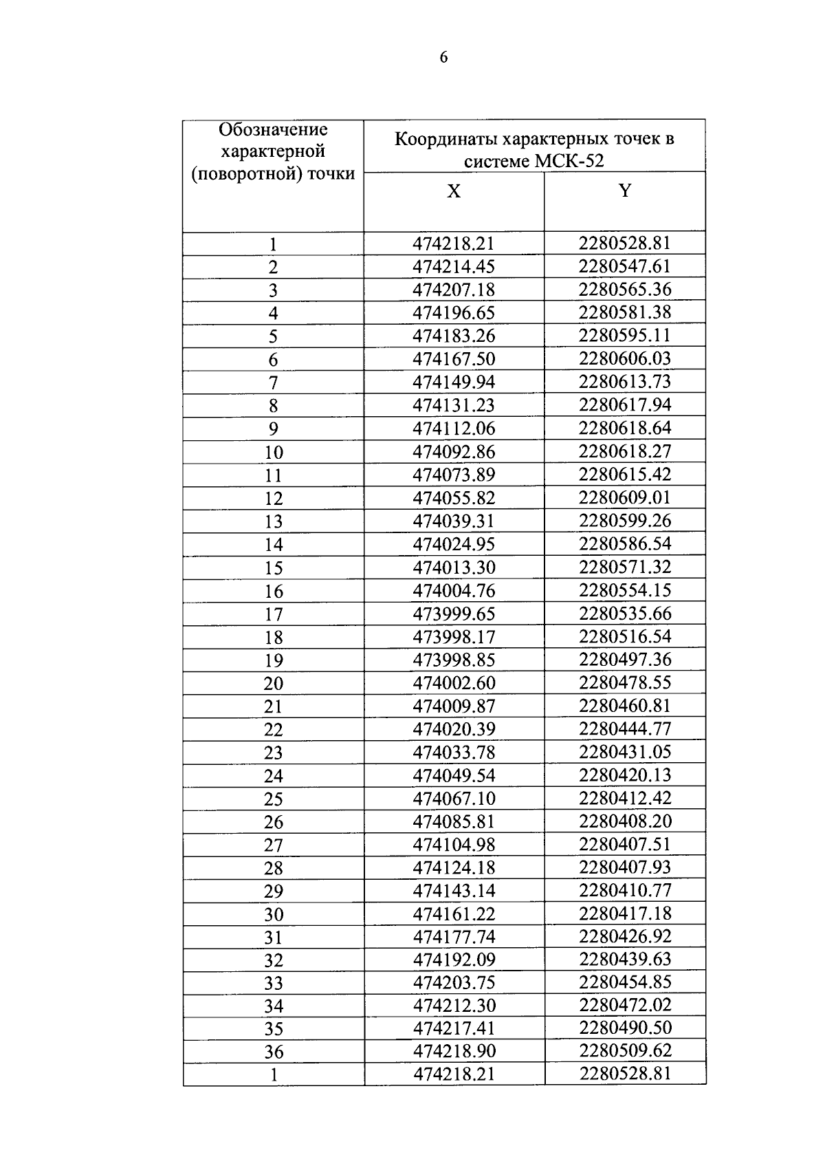
Приказ Управления государственной охраны объектов культурного наследия Нижегородской области от 10.10.2023 № 387
"О внесении изменений в некоторые приказы управления государственной охраны объектов культурного наследия Нижегородской области"
(Зарегистрирован 07.11.2023 № 23972-518-387)
Номер опубликования: 5201202311090012
Дата опубликования: 09.11.2023
Страница №11 из 12:
Увеличить