Официальное опубликование правовых актов
ОФИЦИАЛЬНОЕ ОПУБЛИКОВАНИЕ
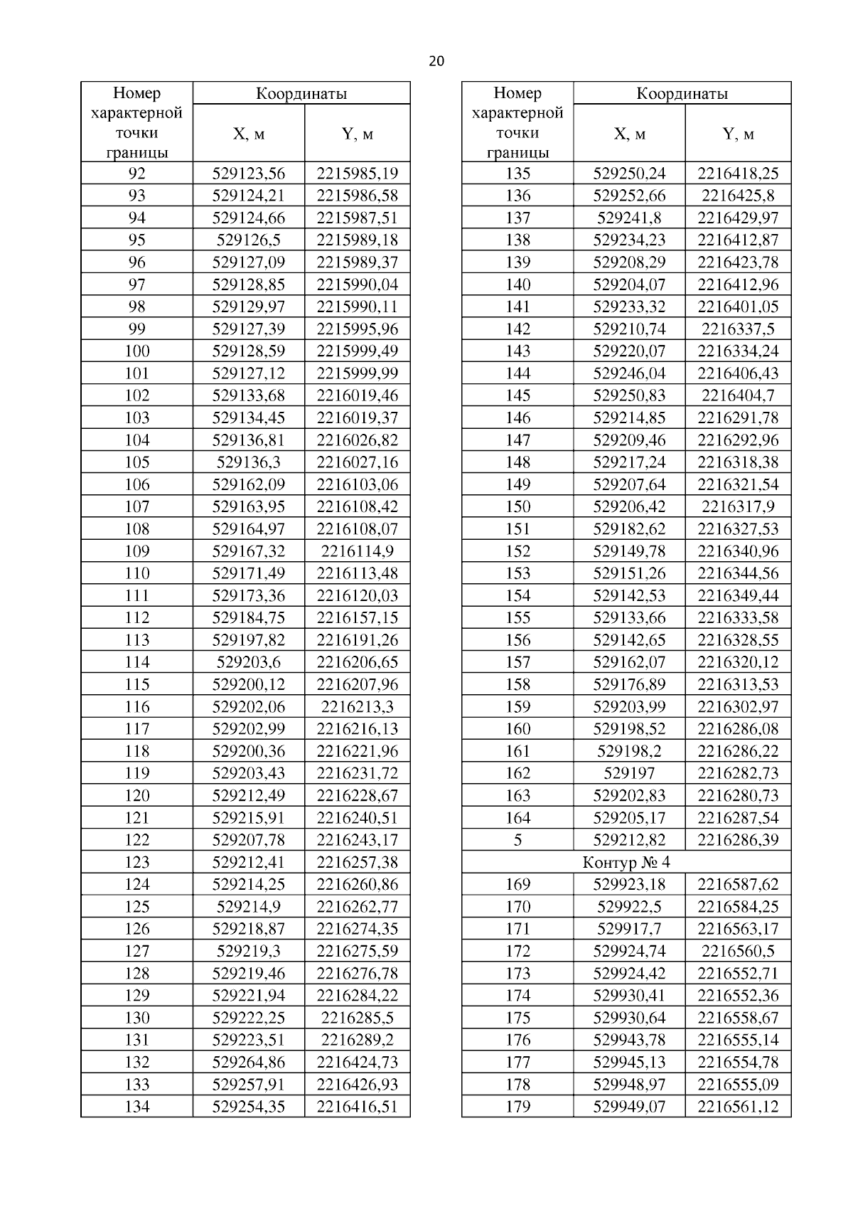
Приказ Министерства градостроительной деятельности и развития агломераций Нижегородской области от 06.12.2023 № 06-01-03/52
"Об утверждении документации по внесению изменений в документацию по планировке (проект планировки и межевания) территории, расположенной по ул. Максима Горького, ул. Белинского, ул. Большая Печерская в Нижегородском и Советском районах города Нижнего Новгорода"
(Зарегистрирован 15.01.2024 № 24899-330-006-01-03/52)
Номер опубликования: 5201202401170009
Дата опубликования: 17.01.2024
Страница №22 из 44:
Увеличить