Официальное опубликование правовых актов
ОФИЦИАЛЬНОЕ ОПУБЛИКОВАНИЕ
Приказ Министерства градостроительной деятельности и развития агломераций Нижегородской области от 01.02.2024 № 06-01-03/3
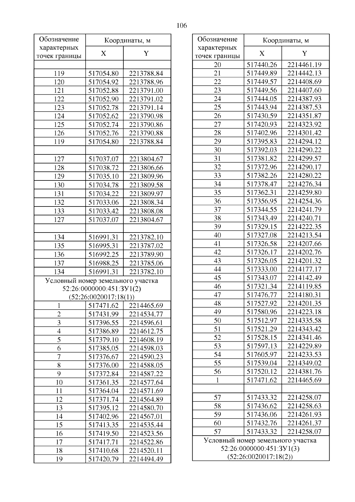
"Об утверждении проекта межевания территории, расположенной от ул. Ларина до автомобильной дороги Р-158 в городском округе город Нижний Новгород и Кстовском муниципальном округе Нижегородской области на землях, не относящихся к землям лесного фонда"
(Зарегистрирован 28.02.2024 № 25173-330-006-01-03/3)
Номер опубликования: 5201202403040001
Дата опубликования: 04.03.2024
Страница №108 из 126:
Увеличить