Официальное опубликование правовых актов
ОФИЦИАЛЬНОЕ ОПУБЛИКОВАНИЕ
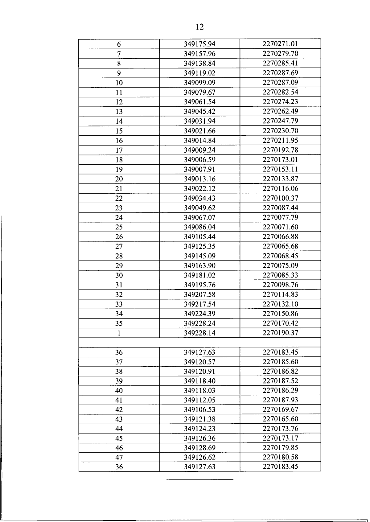
Приказ Управления государственной охраны объектов культурного наследия Нижегородской области от 23.07.2024 № 179
"Об утверждении описания местоположения границ защитных зон объектов культурного наследия регионального значения, расположенных на территории Починковского муниципального округа Нижегородской области, режима использования земель в границах защитных зон объектов культурного наследия"
(Зарегистрирован 07.08.2024 № 26106-518-179)
Номер опубликования: 5201202408090001
Дата опубликования: 09.08.2024
Страница №14 из 15:
Увеличить