Официальное опубликование правовых актов
ОФИЦИАЛЬНОЕ ОПУБЛИКОВАНИЕ
Приказ Министерства градостроительной деятельности и развития агломераций Нижегородской области от 26.03.2025 № 06-01-03/12
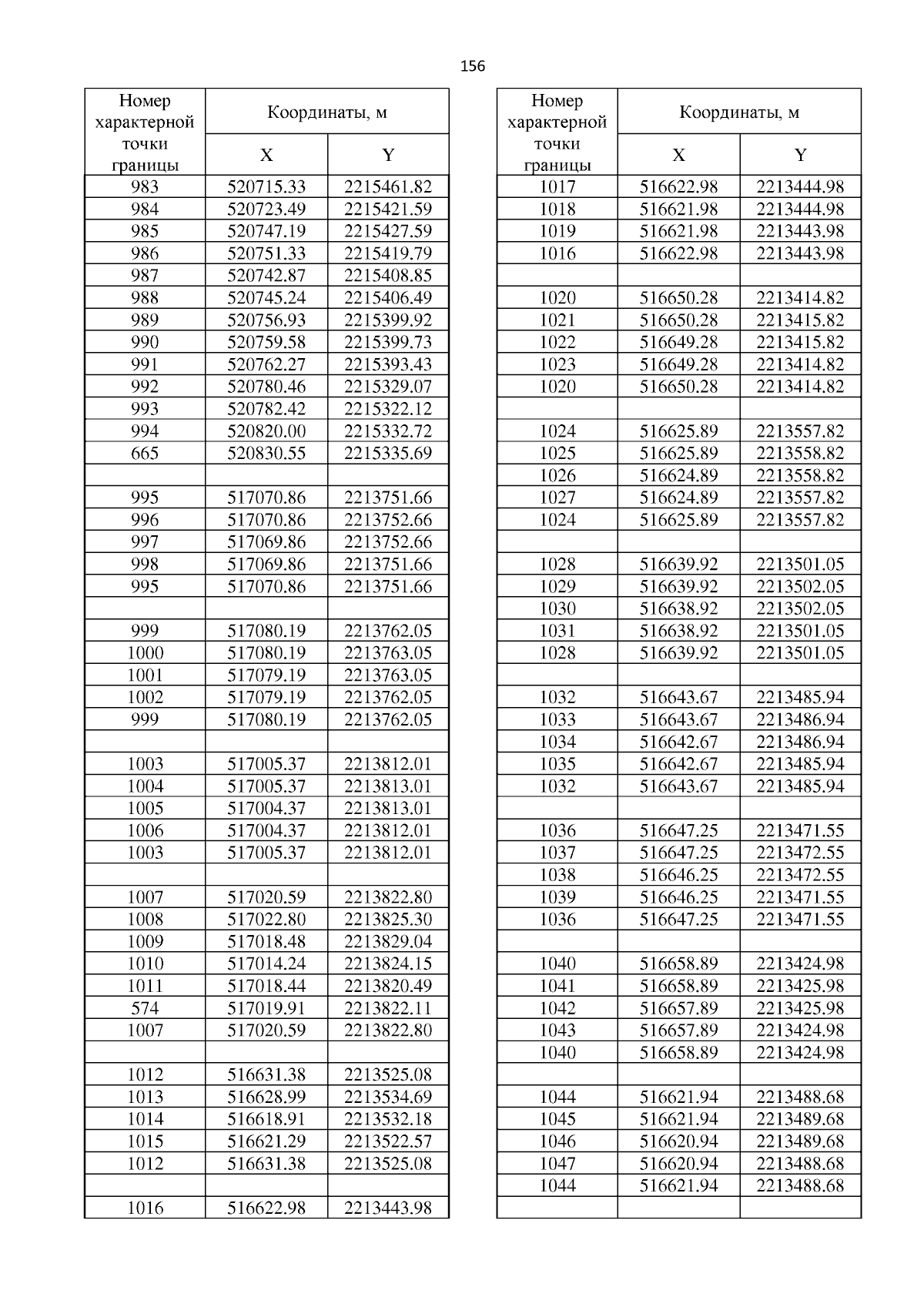
"Об утверждении документации по планировке (проект планировки и межевания) территории, расположенной от улицы Ларина до автомобильной дороги Р-158 в городском округе город Нижний Новгород и Кстовском муниципальном округе Нижегородской области"
(Зарегистрирован 07.04.2025 № 27928-330-006-01-03/12)
Номер опубликования: 5201202504100008
Дата опубликования: 10.04.2025
Страница №158 из 160:
Увеличить