Официальное опубликование правовых актов
ОФИЦИАЛЬНОЕ ОПУБЛИКОВАНИЕ
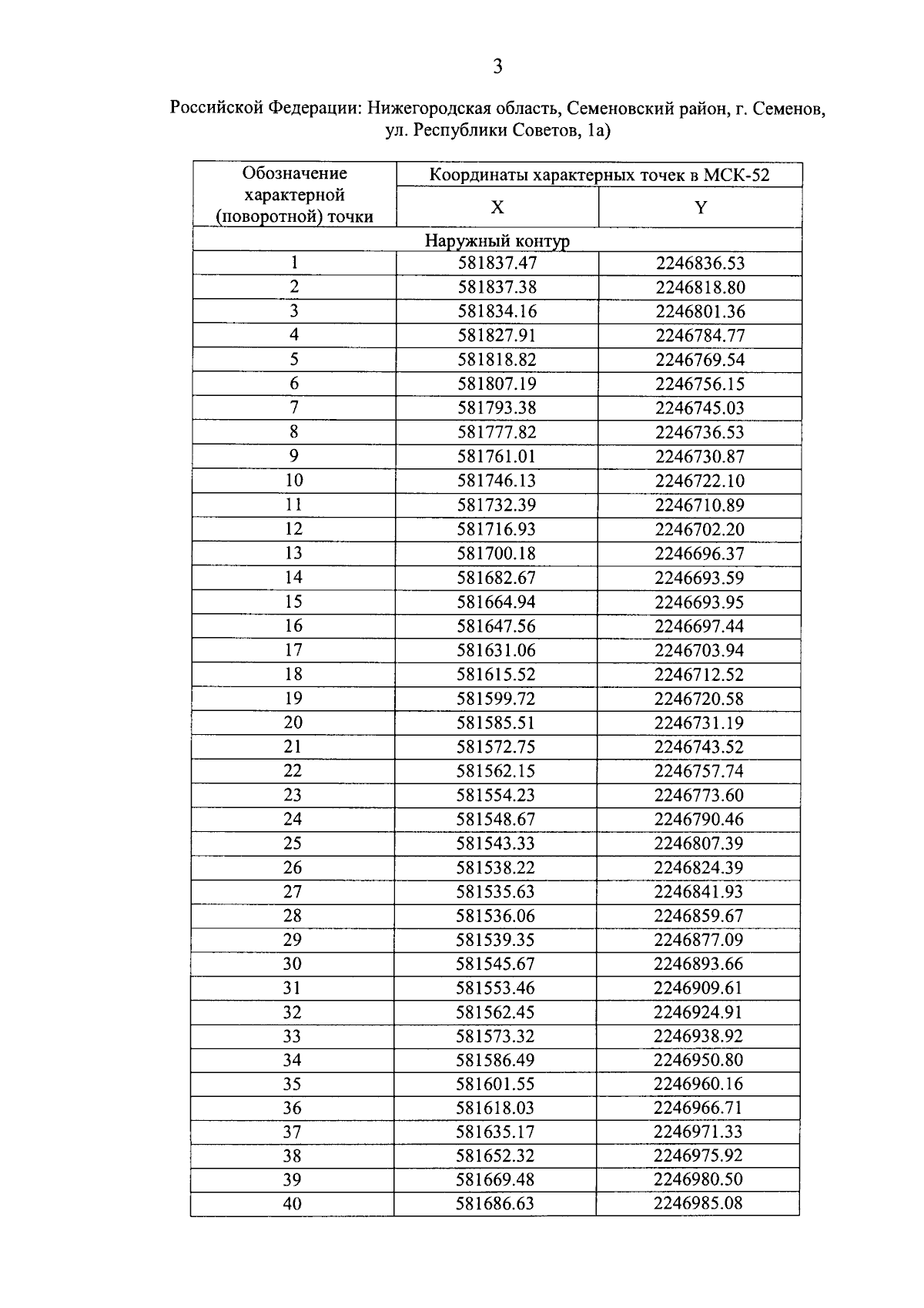
Приказ Управления государственной охраны объектов культурного наследия Нижегородской области от 30.05.2025 № 93
"О внесении изменений в приказ управления государственной охраны объектов культурного наследия Нижегородской области от 27.07.2020 № 217"
(Зарегистрирован 25.06.2025 № 28346-518-093)
Номер опубликования: 5201202506270001
Дата опубликования: 27.06.2025
Страница №4 из 8:
Увеличить