Официальное опубликование правовых актов
ОФИЦИАЛЬНОЕ ОПУБЛИКОВАНИЕ
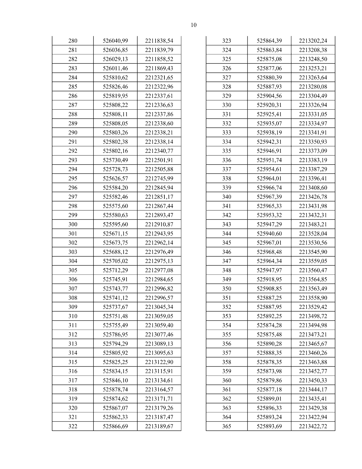
Приказ Министерства градостроительной деятельности и развития агломераций Нижегородской области от 04.08.2025 № 06-01-03/29
"Об утверждении документации по планировке территории (проект планировки и межевания территории), расположенной в границах улицы Шлиссельбургская, Заречного бульвара, реки Ржавка в Ленинском районе города Нижнего Новгорода"
(Зарегистрирован 08.09.2025 № 28623-330-006-01-03/29)
Номер опубликования: 5201202509100009
Дата опубликования: 10.09.2025
Страница №12 из 70:
Увеличить