Официальное опубликование правовых актов
ОФИЦИАЛЬНОЕ ОПУБЛИКОВАНИЕ
Приказ Министерства градостроительной деятельности и развития агломераций Нижегородской области от 05.08.2025 № 06-01-03/30
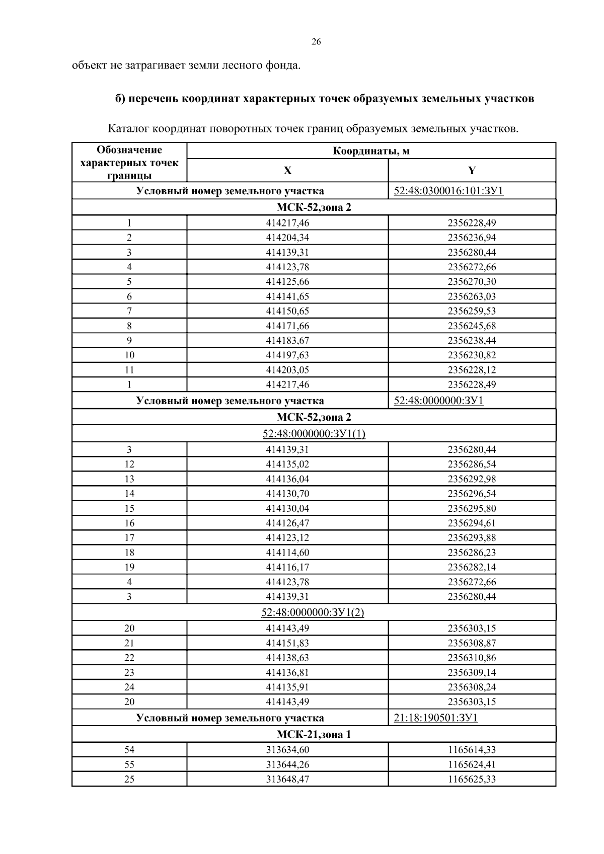
"Об утверждении документации по планировке территории (проект планировки территории, включая проект межевания территории), расположенной в районе моста через р. Киша на км 162+033 автомобильной дороги (22 ОП РЗ 22К-0162) Работки-Порецкое в Сеченовском муниципальном округе Нижегородской области и Порецком муниципальном округе Чувашской Республики"
(Зарегистрирован 08.09.2025 № 28624-330-006-01-03/30)
Номер опубликования: 5201202509100012
Дата опубликования: 10.09.2025
Страница №28 из 34:
Увеличить