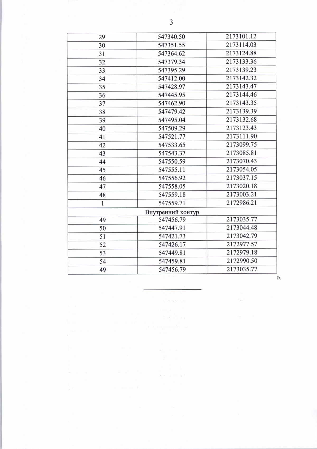
Приказ Управления государственной охраны объектов культурного наследия Нижегородской области от 09.10.2025 № 256
"О внесении изменений в приказ управления государственной охраны объектов культурного наследия Нижегородской области от 24.03.2020 № 130"
(Зарегистрирован 12.11.2025 № 28929-518-256)
"О внесении изменений в приказ управления государственной охраны объектов культурного наследия Нижегородской области от 24.03.2020 № 130"
(Зарегистрирован 12.11.2025 № 28929-518-256)
Номер опубликования: 5201202511170002
Дата опубликования:
17.11.2025
