Официальное опубликование правовых актов
ОФИЦИАЛЬНОЕ ОПУБЛИКОВАНИЕ
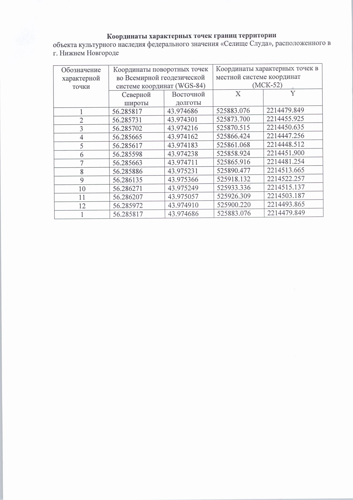
Приказ Управления государственной охраны объектов культурного наследия Нижегородской области от 16.12.2025 № 377
"Об утверждении границ и режима использования территории объекта культурного наследия федерального значения "Селище Слуда", расположенного в г. Нижнем Новгороде"
(Зарегистрирован 12.01.2026 № 29716-518-377)
Номер опубликования: 5201202601140007
Дата опубликования: 14.01.2026
Страница №4 из 5:
Увеличить