Приказ Министерства градостроительной деятельности и развития агломераций Нижегородской области от 30.12.2025 № 06-01-03/42
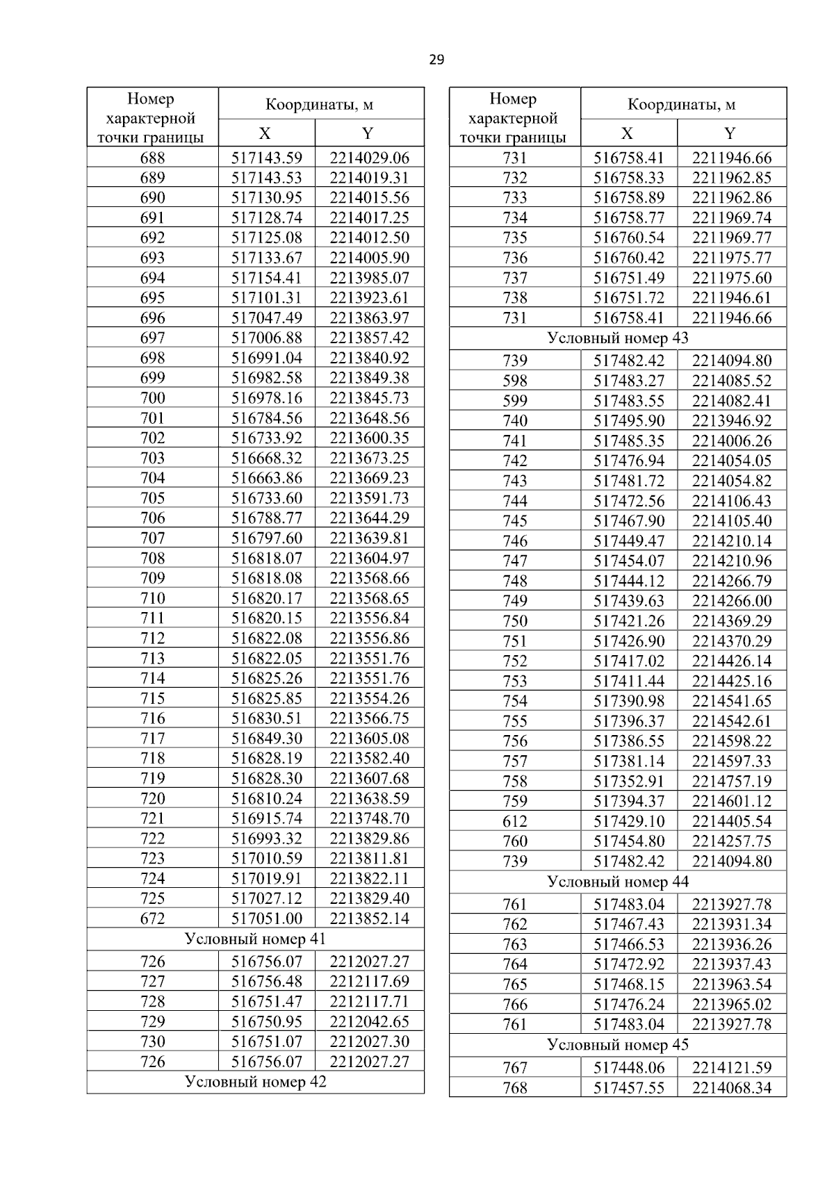
"О внесении изменений в документацию по планировке (проект планировки и межевания) территории, расположенной от улицы Ларина до автомобильной дороги Р- 158 в городском округе город Нижний Новгород и Кстовском муниципальном округе Нижегородской области, утвержденную приказом министерства градостроительной деятельности и развития агломераций Нижегородской области от 26 марта 2025 г. № 06-01-03/12"
(Зарегистрирован 11.02.2026 № 29873-330-006-01-03/42)
"О внесении изменений в документацию по планировке (проект планировки и межевания) территории, расположенной от улицы Ларина до автомобильной дороги Р- 158 в городском округе город Нижний Новгород и Кстовском муниципальном округе Нижегородской области, утвержденную приказом министерства градостроительной деятельности и развития агломераций Нижегородской области от 26 марта 2025 г. № 06-01-03/12"
(Зарегистрирован 11.02.2026 № 29873-330-006-01-03/42)
Номер опубликования: 5201202602130001
Дата опубликования:
13.02.2026
