Официальное опубликование правовых актов
ОФИЦИАЛЬНОЕ ОПУБЛИКОВАНИЕ
Приказ Министерства градостроительной деятельности и развития агломераций Нижегородской области от 06.03.2026 № 04-02-03/2
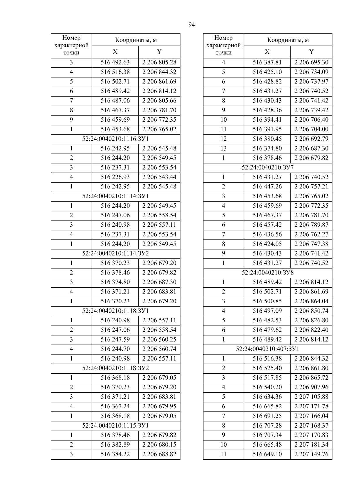
"Об утверждении документации по планировке территории (проекта планировки территории, включая проект межевания территории) для реконструкции участка автомобильной дороги (22 ОП РЗ 22К-0125) Ряжск-Касимов- Муром-Н.Новгород от д.Сартаково до с.п.Новинки в городском округе город Нижний Новгород"
(Зарегистрирован 06.04.2026 № 30120-330-004-02-03/2)
Номер опубликования: 5201202604080006
Дата опубликования: 08.04.2026
Страница №96 из 117:
Увеличить