Официальное опубликование правовых актов
ОФИЦИАЛЬНОЕ ОПУБЛИКОВАНИЕ
Приказ Министерства градостроительной деятельности и развития агломераций Нижегородской области от 20.03.2026 № 04-02-03/4
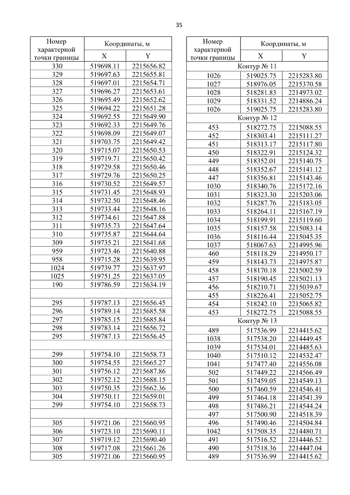
"Об утверждении документации по внесению изменений в документацию по планировке (проект планировки и межевания) территории, расположенной от улицы Ларина до автомобильной дороги Р-158 в городском округе город Нижний Новгород Нижегородской области, утвержденную приказом министерства градостроительной деятельности и развития агломераций Нижегородской области от 26 марта 2025 г. № 06-01-03/12"
(Зарегистрирован 13.04.2026 № 30160-330-004-02-03/4)
Номер опубликования: 5201202604160011
Дата опубликования: 16.04.2026
Страница №37 из 161:
Увеличить