Официальное опубликование правовых актов
ОФИЦИАЛЬНОЕ ОПУБЛИКОВАНИЕ
Постановление Правительства Новгородской области от 15.11.2016 № 402
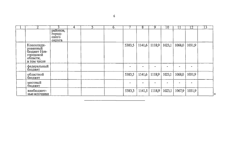
"О внесении изменений в государственную программу Новгородской области "Содействие созданию в Новгородской области новых мест в общеобразовательных организациях в соответствии с прогнозируемой потребностью и современными условиями обучения на 2016-2025 годы"
Номер опубликования: 5300201611170004
Дата опубликования: 17.11.2016
Страница №11 из 13:
Увеличить