Официальное опубликование правовых актов
ОФИЦИАЛЬНОЕ ОПУБЛИКОВАНИЕ
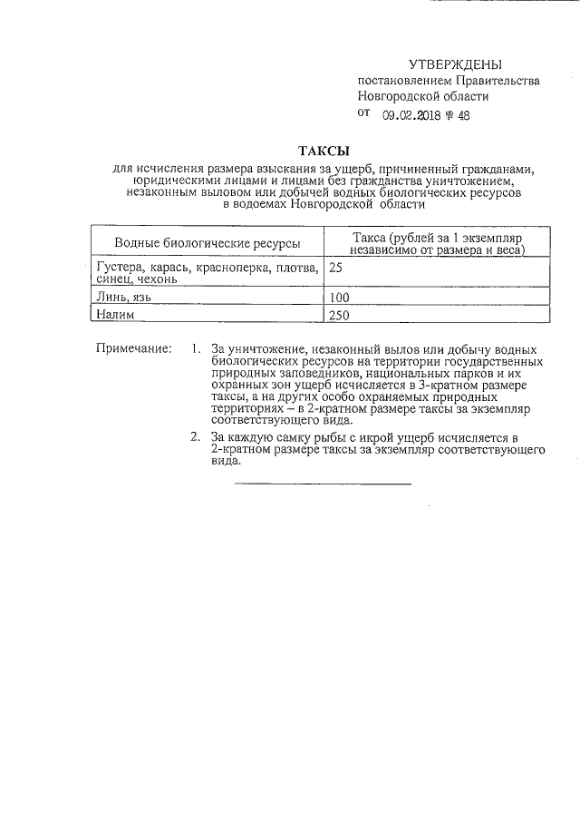
Постановление Правительства Новгородской области от 09.02.2018 № 48
"Об утверждении такс для исчисления размера взыскания за ущерб, причиненный водным биологическим ресурсам"
Номер опубликования: 5300201802150012
Дата опубликования: 15.02.2018
Страница №2 из 2:
Увеличить