Официальное опубликование правовых актов
ОФИЦИАЛЬНОЕ ОПУБЛИКОВАНИЕ
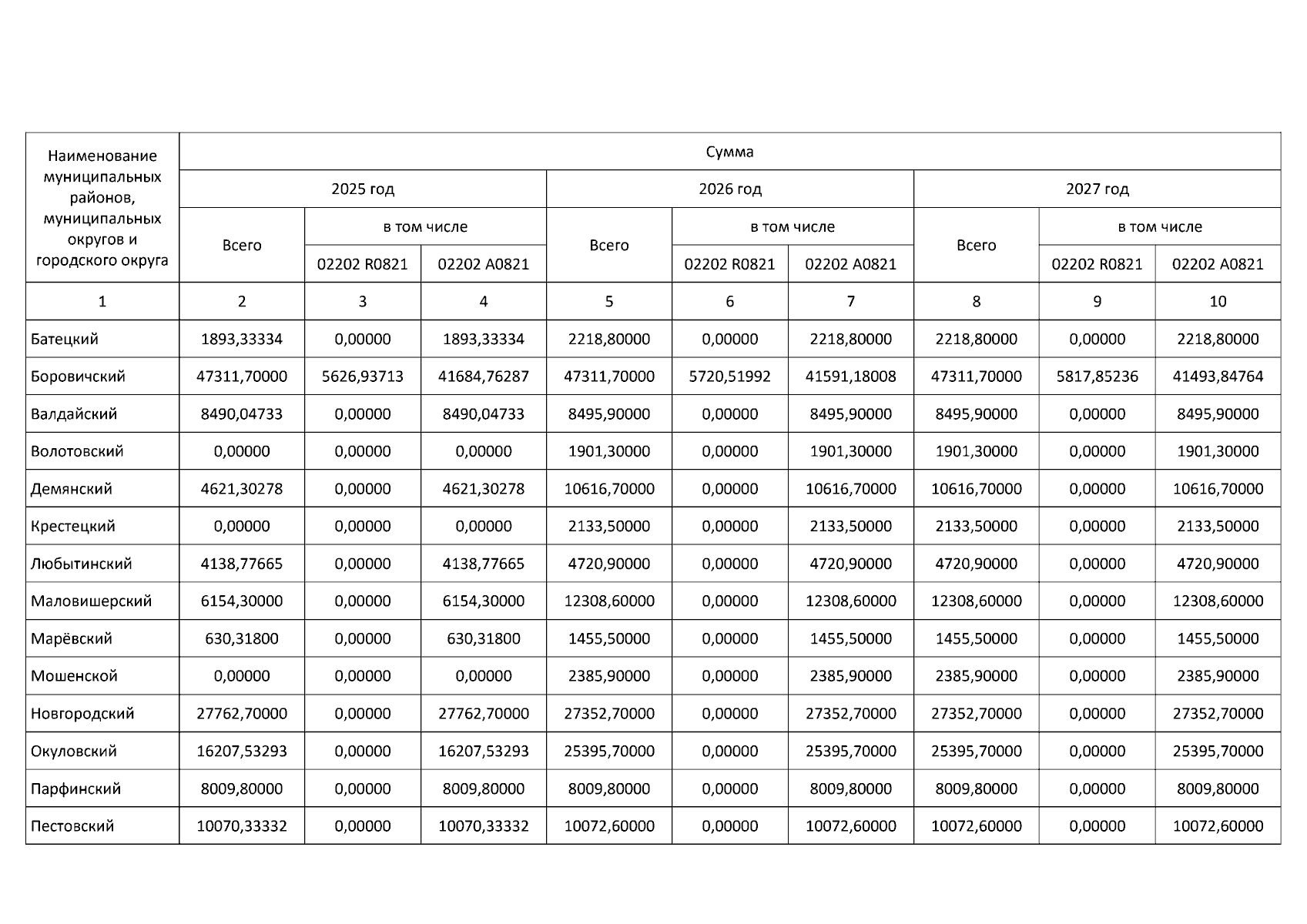
Областной закон Новгородской области от 01.11.2025 № 728-ОЗ
"О внесении изменений в областной закон "Об областном бюджете на 2025 год и на плановый период 2026 и 2027 годов"
Номер опубликования: 5300202511030002
Дата опубликования: 03.11.2025
Страница №563 из 572:
Увеличить