Официальное опубликование правовых актов
ОФИЦИАЛЬНОЕ ОПУБЛИКОВАНИЕ
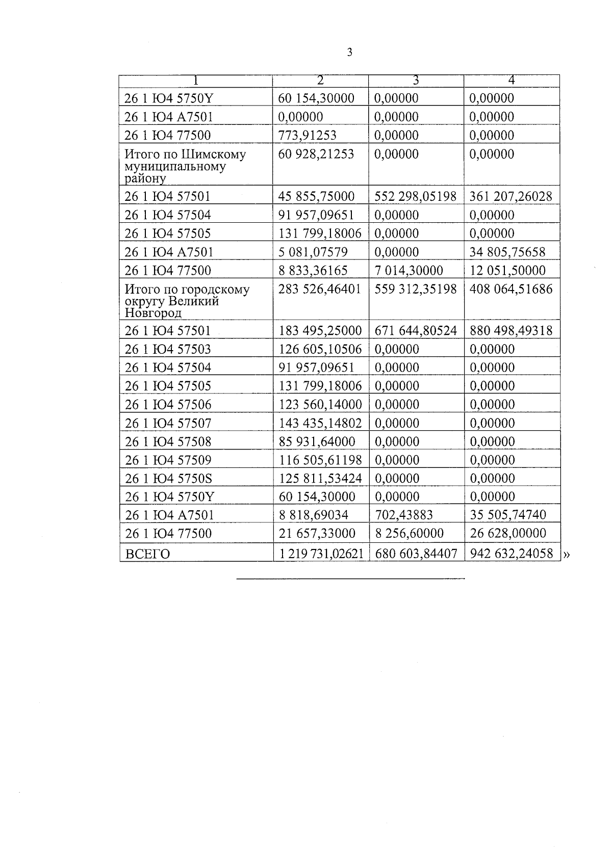
Распоряжение Правительства Новгородской области от 10.11.2025 № 806-рз
"Об утверждении изменений, которые вносятся в распределение субсидий бюджетам муниципальных районов, муниципальных округов, городского округа Новгородской области на реализацию мероприятий по модернизации школьных систем образования на 2025 год и на плановый период 2026 и 2027 годов"
Номер опубликования: 5300202511170006
Дата опубликования: 17.11.2025
Страница №4 из 4:
Увеличить