Официальное опубликование правовых актов
ОФИЦИАЛЬНОЕ ОПУБЛИКОВАНИЕ
Постановление Министерства инвестиционной политики Новгородской области от 10.07.2019 № 11
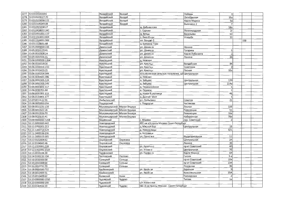
"О внесении изменений в перечень объектов недвижимого имущества, указанных в подпунктах 1 и 2 пункта 1 статьи 378.2 Налогового кодекса Российской Федерации, в отношении которых налоговая база определяется как кадастровая стоимость, на 2019 год"
Номер опубликования: 5301201907160001
Дата опубликования: 16.07.2019
Страница №46 из 48:
Увеличить