Официальное опубликование правовых актов
ОФИЦИАЛЬНОЕ ОПУБЛИКОВАНИЕ
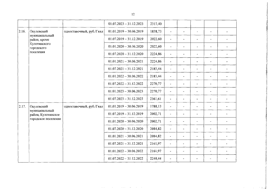
Постановление Комитета по тарифной политике Новгородской области от 17.12.2019 № 81/4
"О внесении изменений в постановление комитета по тарифной политике Новгородской области от 18.12.2018 № 65/12"
Номер опубликования: 5301201912180016
Дата опубликования: 18.12.2019
Страница №12 из 19:
Увеличить