Официальное опубликование правовых актов
ОФИЦИАЛЬНОЕ ОПУБЛИКОВАНИЕ
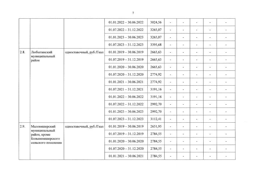
Постановление Комитета по тарифной политике Новгородской области от 15.12.2020 № 74/10
"О внесении изменений в постановление комитета по тарифной политике Новгородской области от 18.12.2018 № 65/12"
Номер опубликования: 5301202012160005
Дата опубликования: 16.12.2020
Страница №7 из 19:
Увеличить