Официальное опубликование правовых актов
ОФИЦИАЛЬНОЕ ОПУБЛИКОВАНИЕ
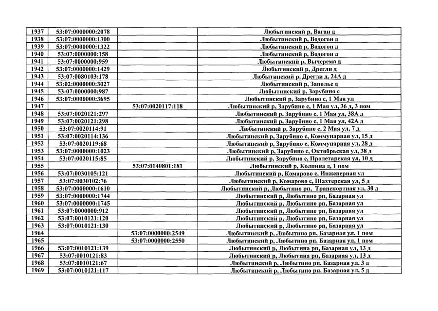
Постановление Министерства строительства, архитектуры и имущественных отношений Новгородской области от 12.12.2022 № 24
"Об определении перечня объектов недвижимого имущества, указанных в подпунктах 1 и 2 пункта 1 статьи 378.2 Налогового кодекса Российской Федерации, в отношении которых налоговая база определяется как кадастровая стоимость, на 2023 год"
Номер опубликования: 5301202212160002
Дата опубликования: 16.12.2022
Страница №62 из 128:
Увеличить