Официальное опубликование правовых актов
ОФИЦИАЛЬНОЕ ОПУБЛИКОВАНИЕ
Постановление Комитета по тарифной политике Новгородской области от 21.02.2023 № 10
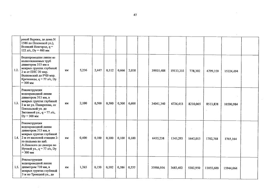
"О внесении изменений в инвестиционную программу муниципального унитарного предприятия Великого Новгорода "Новгородский водоканал" по развитию системы коммунальной инфраструктуры холодного водоснабжения и хозяйственно-бытового водоотведения Великого Новгорода на 2019 - 2023 годы, утвержденную постановлением комитета по тарифной политике Новгородской области от 29.10.2018 № 37/2"
(Зарегистрирован 28.02.2023 № 52)
Номер опубликования: 5301202303030001
Дата опубликования: 03.03.2023
Страница №47 из 86:
Увеличить