Официальное опубликование правовых актов
ОФИЦИАЛЬНОЕ ОПУБЛИКОВАНИЕ
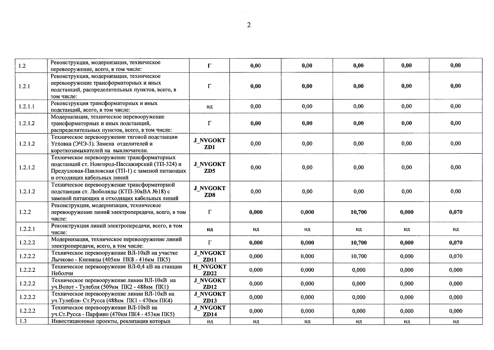
Постановление Комитета по тарифной политике Новгородской области от 31.10.2024 № 53
"Об утверждении инвестиционной программы открытого акционерного общества "Российские железные дороги" на территории Новгородской области на 2024-2029 годы"
(Зарегистрирован 05.11.2024 № 1142)
Номер опубликования: 5301202411110001
Дата опубликования: 11.11.2024
Страница №17 из 50:
Увеличить