Официальное опубликование правовых актов
ОФИЦИАЛЬНОЕ ОПУБЛИКОВАНИЕ
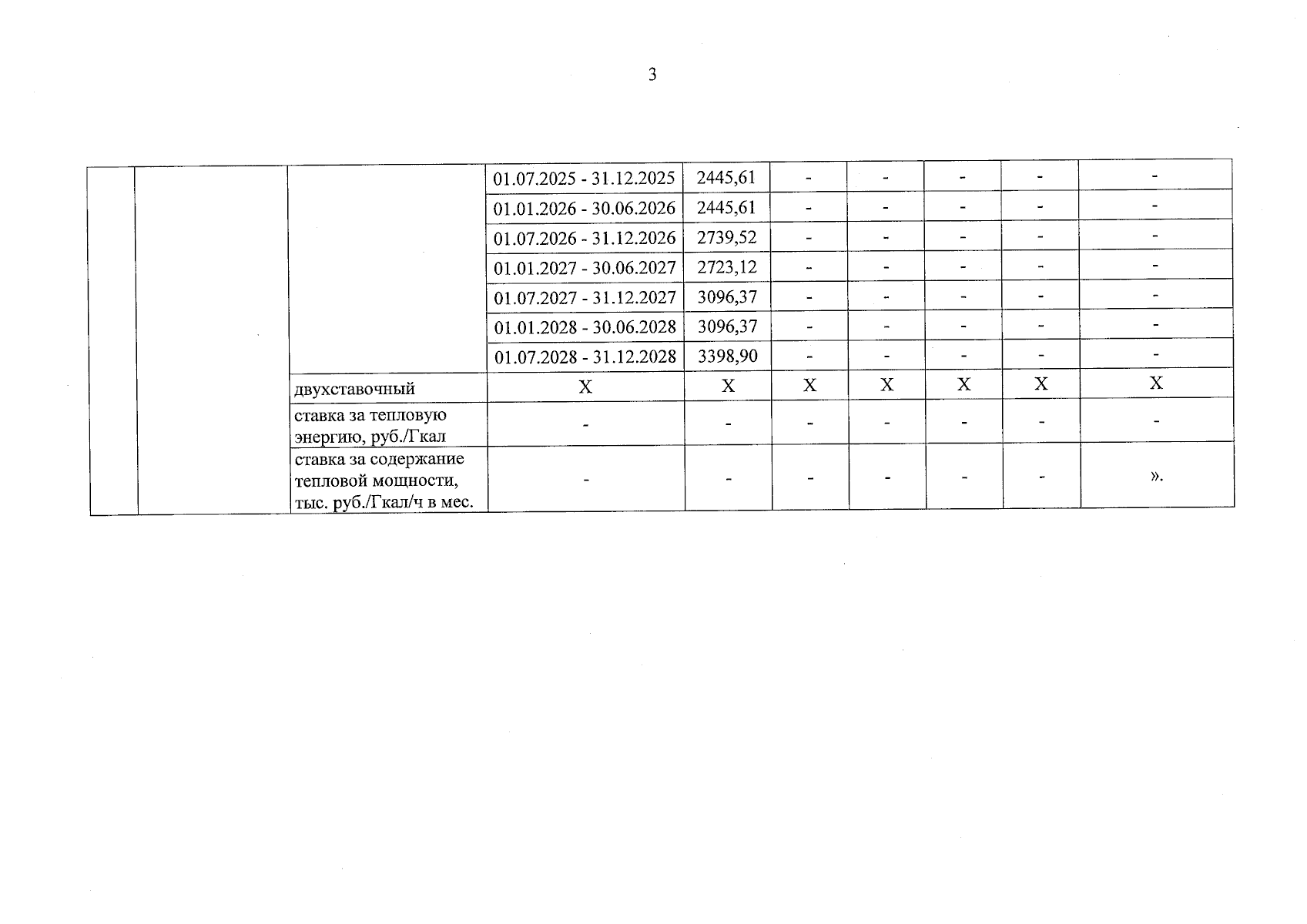
Постановление Комитета по тарифной политике Новгородской области от 25.09.2025 № 44
"О внесении изменений в постановление комитета по тарифной политике Новгородской области от 13.12.2023 № 76"
(Зарегистрирован 30.09.2025 № 1606)
Номер опубликования: 5301202510010003
Дата опубликования: 01.10.2025
Страница №3 из 4:
Увеличить