Официальное опубликование правовых актов
ОФИЦИАЛЬНОЕ ОПУБЛИКОВАНИЕ
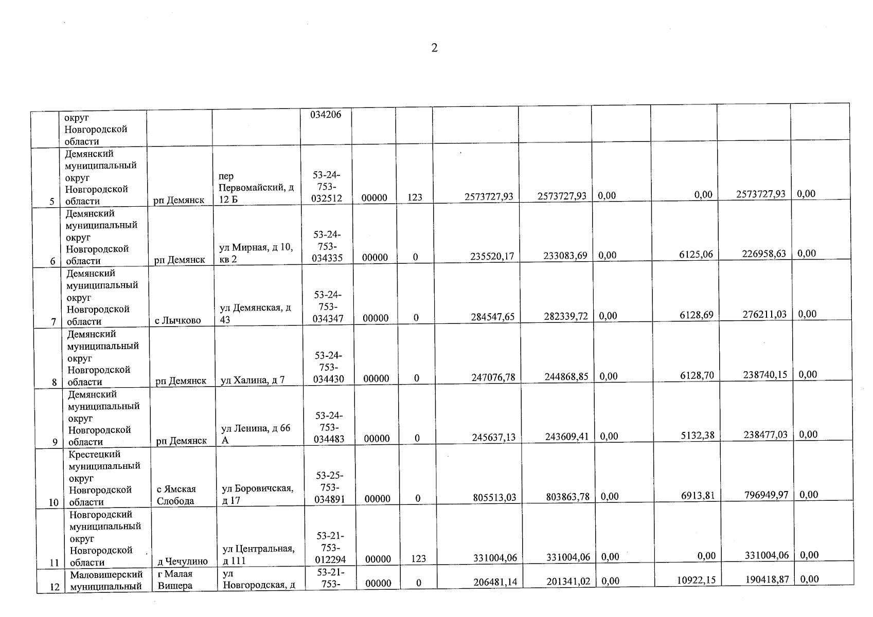
Постановление Комитета по тарифной политике Новгородской области от 30.09.2025 № 45
"Об утверждении размера экономически обоснованных расходов на выполнение мероприятий по подключению (технологическому присоединению) к газораспределительным сетям газоиспользующего оборудования в рамках догазификации за июль 2025 года"
(Зарегистрирован 01.10.2025 № 1613)
Номер опубликования: 5301202510060004
Дата опубликования: 06.10.2025
Страница №4 из 27:
Увеличить