Официальное опубликование правовых актов
ОФИЦИАЛЬНОЕ ОПУБЛИКОВАНИЕ
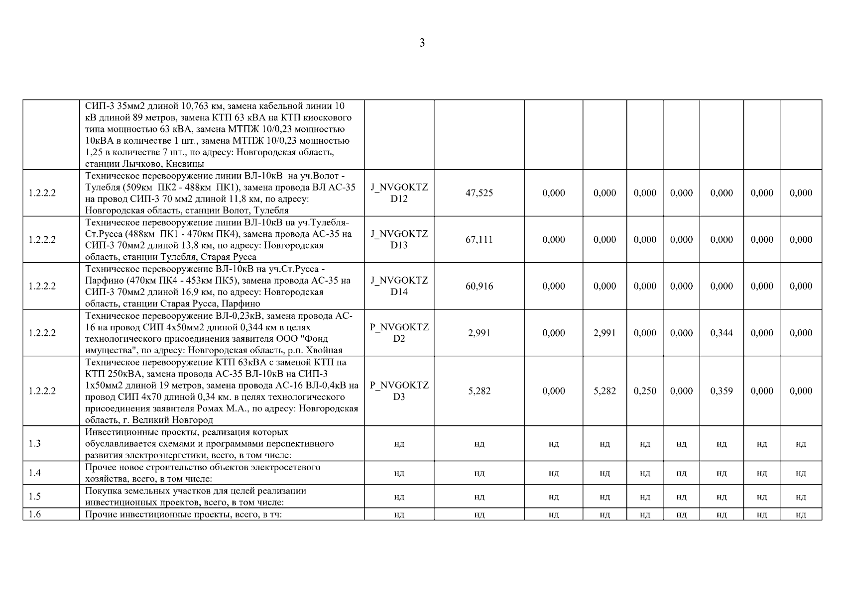
Постановление Комитета по тарифной политике Новгородской области от 30.10.2025 № 51/2
"Об утверждении инвестиционной программы открытого акционерного общества "Российские железные дороги" на территории Новгородской области на 2025-2029 годы"
(Зарегистрирован 01.11.2025 № 1647)
Номер опубликования: 5301202511050001
Дата опубликования: 05.11.2025
Страница №34 из 57:
Увеличить