Официальное опубликование правовых актов
ОФИЦИАЛЬНОЕ ОПУБЛИКОВАНИЕ
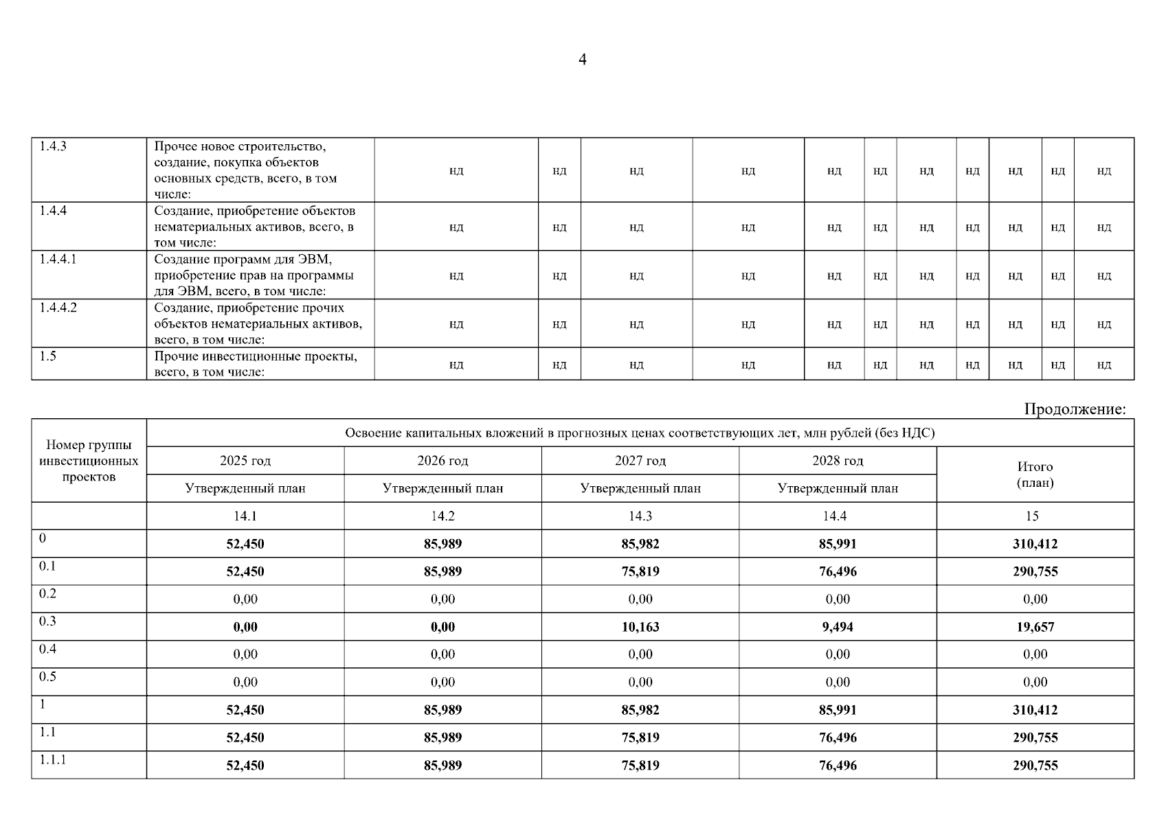
Постановление Комитета по тарифной политике Новгородской области от 30.10.2025 № 51
"Об утверждении инвестиционной программы общества с ограниченной ответственностью "ТНС энерго Великий Новгород" на территории Новгородской области на 2025-2028 годы"
(Зарегистрирован 01.11.2025 № 1645)
Номер опубликования: 5301202511050002
Дата опубликования: 05.11.2025
Страница №15 из 64:
Увеличить