Официальное опубликование правовых актов
ОФИЦИАЛЬНОЕ ОПУБЛИКОВАНИЕ
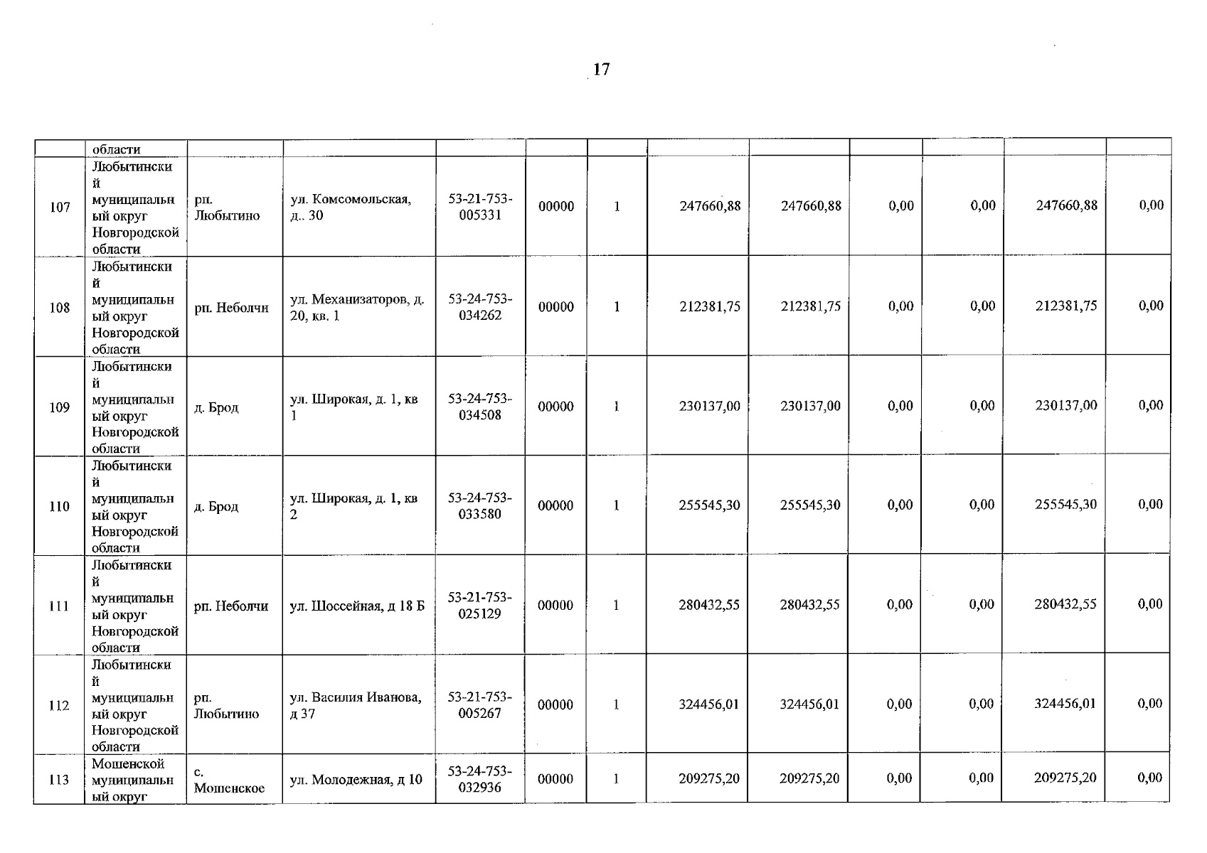
Постановление Комитета по тарифной политике Новгородской области от 30.10.2025 № 51/1
"Об утверждении размера экономически обоснованных расходов на выполнение мероприятий по подключению (технологическому присоединению) к газораспределительным сетям газоиспользующего оборудования в рамках догазификации за август 2025 года"
(Зарегистрирован 01.11.2025 № 1646)
Номер опубликования: 5301202511050003
Дата опубликования: 05.11.2025
Страница №19 из 33:
Увеличить