Официальное опубликование правовых актов
ОФИЦИАЛЬНОЕ ОПУБЛИКОВАНИЕ
Постановление Комитета по тарифной политике Новгородской области от 15.12.2025 № 63/2
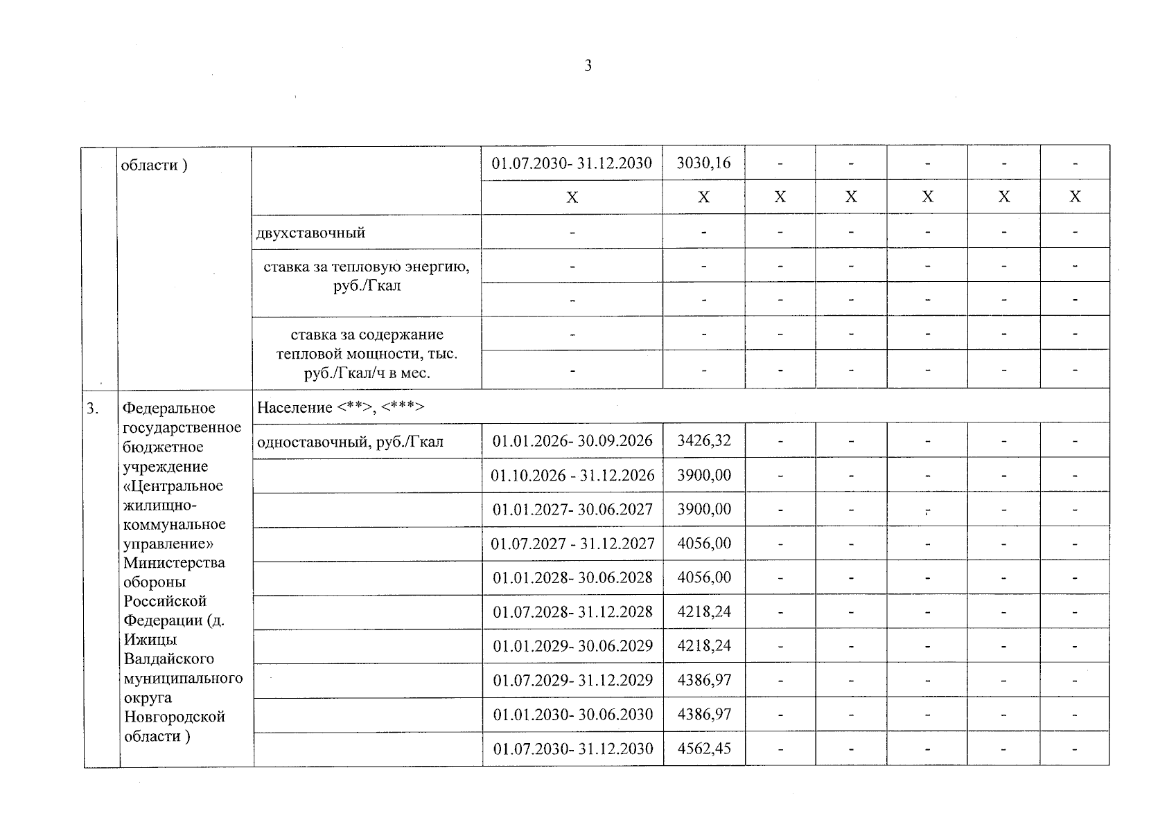
"О долгосрочных параметрах регулирования, тарифах на тепловую энергию (мощность) Федерального государственного бюджетного учреждения "Центральное жилищно-коммунальное управление" Министерства обороны Российской Федерации на территории Новгородской области на 2026-2030 годы"
(Зарегистрирован 19.12.2025 № 1755)
Номер опубликования: 5301202512250041
Дата опубликования: 25.12.2025
Страница №8 из 13:
Увеличить