Официальное опубликование правовых актов
ОФИЦИАЛЬНОЕ ОПУБЛИКОВАНИЕ
Постановление Комитета по тарифной политике Новгородской области от 02.04.2026 № 15
"О внесении изменений в постановление комитета по тарифной политике Новгородской области от 15.05.2025 № 21/1"
(Зарегистрирован 07.04.2026 № 1924)
Номер опубликования: 5301202604070001
Дата опубликования: 07.04.2026
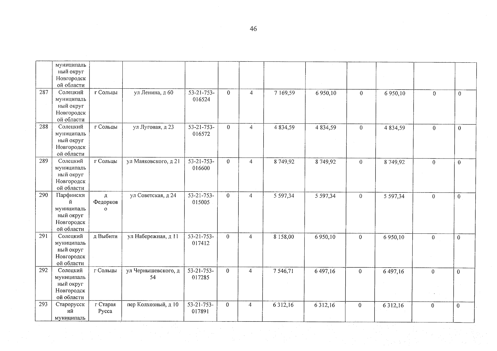
Страница №46 из 48:
Увеличить