Официальное опубликование правовых актов
ОФИЦИАЛЬНОЕ ОПУБЛИКОВАНИЕ
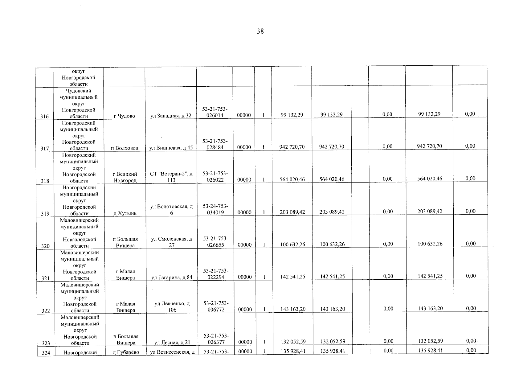
Постановление Комитета по тарифной политике Новгородской области от 07.04.2026 № 16
"Об утверждении размера экономически обоснованных расходов на выполнение мероприятий по подключению (технологическому присоединению) к газораспределительным сетям газоиспользующего оборудования в рамках догазификации за январь 2026 года"
(Зарегистрирован 09.04.2026 № 1928)
Номер опубликования: 5301202604100001
Дата опубликования: 10.04.2026
Страница №40 из 46:
Увеличить