Официальное опубликование правовых актов
ОФИЦИАЛЬНОЕ ОПУБЛИКОВАНИЕ
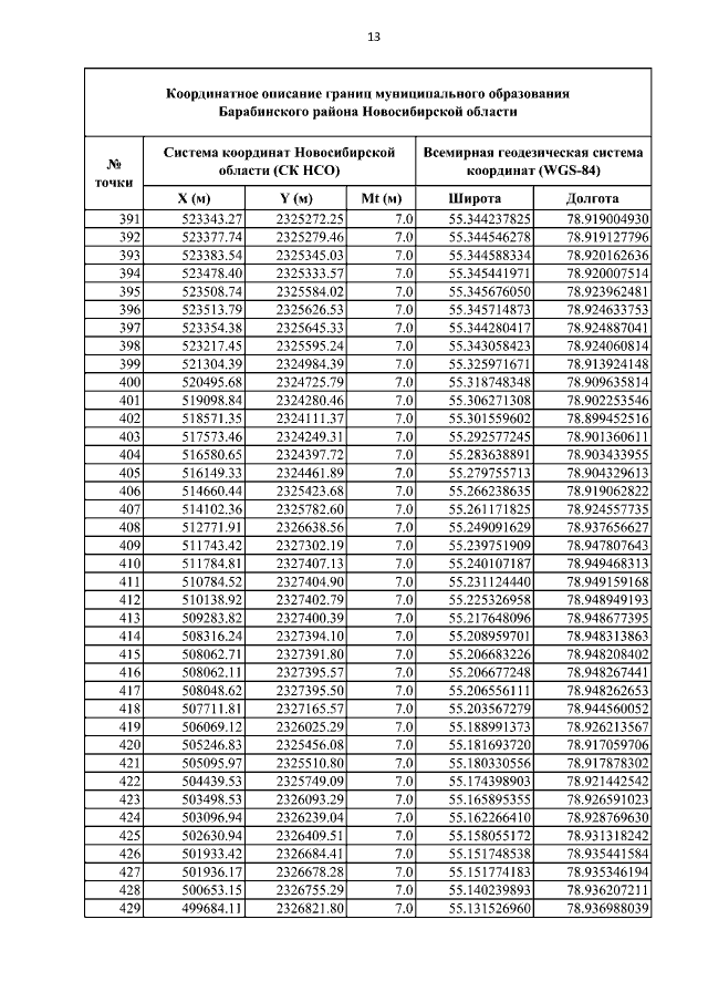
Закон Новосибирской области от 23.12.2014 № 504-ОЗ
"О внесении изменений в Закон Новосибирской области "О статусе и границах муниципальных образований Новосибирской области" и признании утратившими силу отдельных законов Новосибирской области"
Номер опубликования: 5400201412250003
Дата опубликования: 25.12.2014
Страница №144 из 9833:
Увеличить