Официальное опубликование правовых актов
ОФИЦИАЛЬНОЕ ОПУБЛИКОВАНИЕ
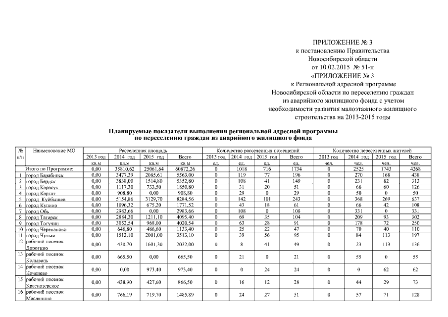
Постановление Правительства Новосибирской области от 10.02.2015 № 51-п
"О внесении изменений в постановление Правительства Новосибирской области от 15.04.2013 № 161-п"
Номер опубликования: 5400201502110005
Дата опубликования: 11.02.2015
Страница №45 из 49:
Увеличить