Официальное опубликование правовых актов
ОФИЦИАЛЬНОЕ ОПУБЛИКОВАНИЕ
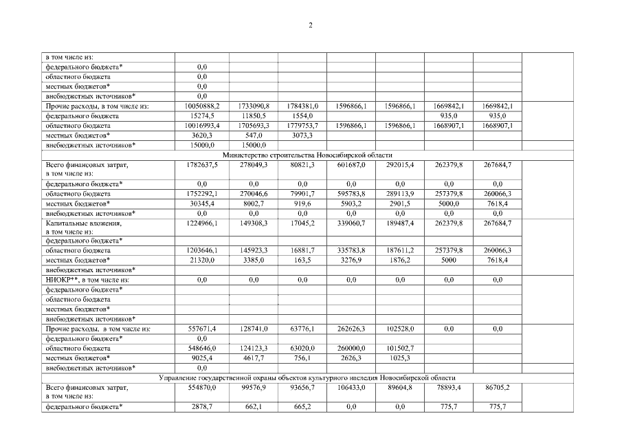
Постановление Правительства Новосибирской области от 29.06.2016 № 196-п
"О внесении изменений в постановление Правительства Новосибирской области от 03.02.2015 № 46-п"
Номер опубликования: 5400201607010003
Дата опубликования: 01.07.2016
Страница №24 из 26:
Увеличить